Günün Fırsatı
Kampanyalar
Siparişlerim
Mağaza Aç
Kıbrıs Pazarı
TMO
Türkşeker
KM Sorgula
Hasar Sorgula
Trafik Sigortası
Kasko
Kategoriler
Uygulamayı İndir
Favorilerim
Giriş Yap
Sepetim
Otomobil & Motosiklet
Yedek Parçalar
Oto Bakım Ürünleri
Motor Yağ
Motor Yağ
AÇIK-SHELL OMALA S4 WE 220 - 1 LİTRE (ESKİ ADI:TİVELA S 220)
AÇIK-SHELL OMALA S4 WE 220 - 1 LİTRE (ESKİ ADI:TİVELA S 220)
Henüz bir değerlendirme yapılmamış
İlk sen değerlendir
Kargo Bedava
Bu ürünün kargosundan ücret alınmayacak.
Kapıda Ödeme
Ödemeni ürünü teslim alırken yapabilirsin.
Kargomata Teslimat
Ürünler ister adresine, ister kargomat noktalarına bırakalım.
Ürün Açıklamaları
Değerlendirmeler
Taksit Seçenekleri
Alışveriş Kredisi
İptal ve İade
Ürün Açıklamaları
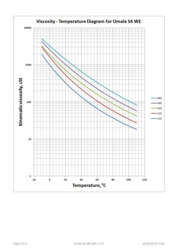
Sozsuz dişliler için sentetik polyalkylene gilikol dişli yağı
Ürün Özellikleri
Marka
Shell
Değerlendirmeler
Henüz bir değerlendirme yapılmamış
İlk sen değerlendir
Taksit Seçenekleri
Bireysel Kart
Ticari Kart
Taksit seçenekleri yükleniyor...
Alışveriş Kredisi
İptal ve İade
İndirimli Ürün
1.260,00
TL
Sepete Ekle
Üründe taksit avantajı var
1 gün içinde kargoda
Satıcı:
Yagcarsisi
9.8
Satıcıya Sor
Güvenlik ve Ürün Kaynakları
En Çok Satanlar
En Popüler Ürünler